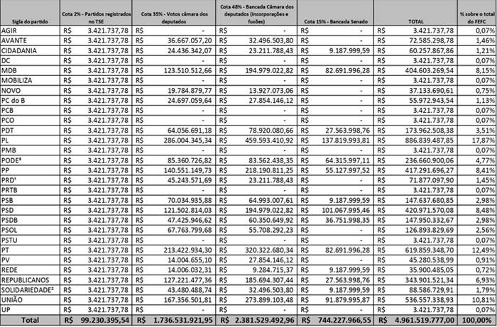
O Tribunal Superior Eleitoral (TSE) divulgou, ontem (17), os valores que cada partido vai receber do Fundo Especial de Financiamento de Campanha (FEFC), seguindo o prazo fixado pelo calendário eleitoral. Ao todo, 29 partidos receberão R$ 4.961.519.777,00, valor estabelecido pelo Congresso Nacional para gastos com a corrida eleitoral deste ano. Os critérios da divisão também foram fixados em lei pelo parlamento (Lei nº 9.504/1997, artigo 16-D).
Para receber os recursos, cada partido precisa definir critérios de distribuição às candidatas e aos candidatos, de acordo com a lei, respeitando, por exemplo, a cota por gênero e raça. O plano deve ser homologado pelo TSE.
O papel do TSE é dar racionalidade e transparência aos critérios de distribuição, segundo a lei, definidos pelos congressistas. Ao final do pleito, os partidos deverão apresentar a prestação de contas detalhada, que será examinada e votada pelo plenário do Tribunal. Abaixo, a lista de quanto cada legenda receberá:

Foto: TSE/reprodução



Gente, eu mal acredito, R$ 4.961.519.777,00. É número que fiquei contanda, primeiro pensando que era milhões, mas depois pareceu trilhões.
O Brasil anda em défit, endividado. E gastando trilhões com esse bando de polítios. Isso é um absurdo
Se no Brasil tivesse apenas dois ou três partidos, tanto dinheiro não seria desperdiçado.